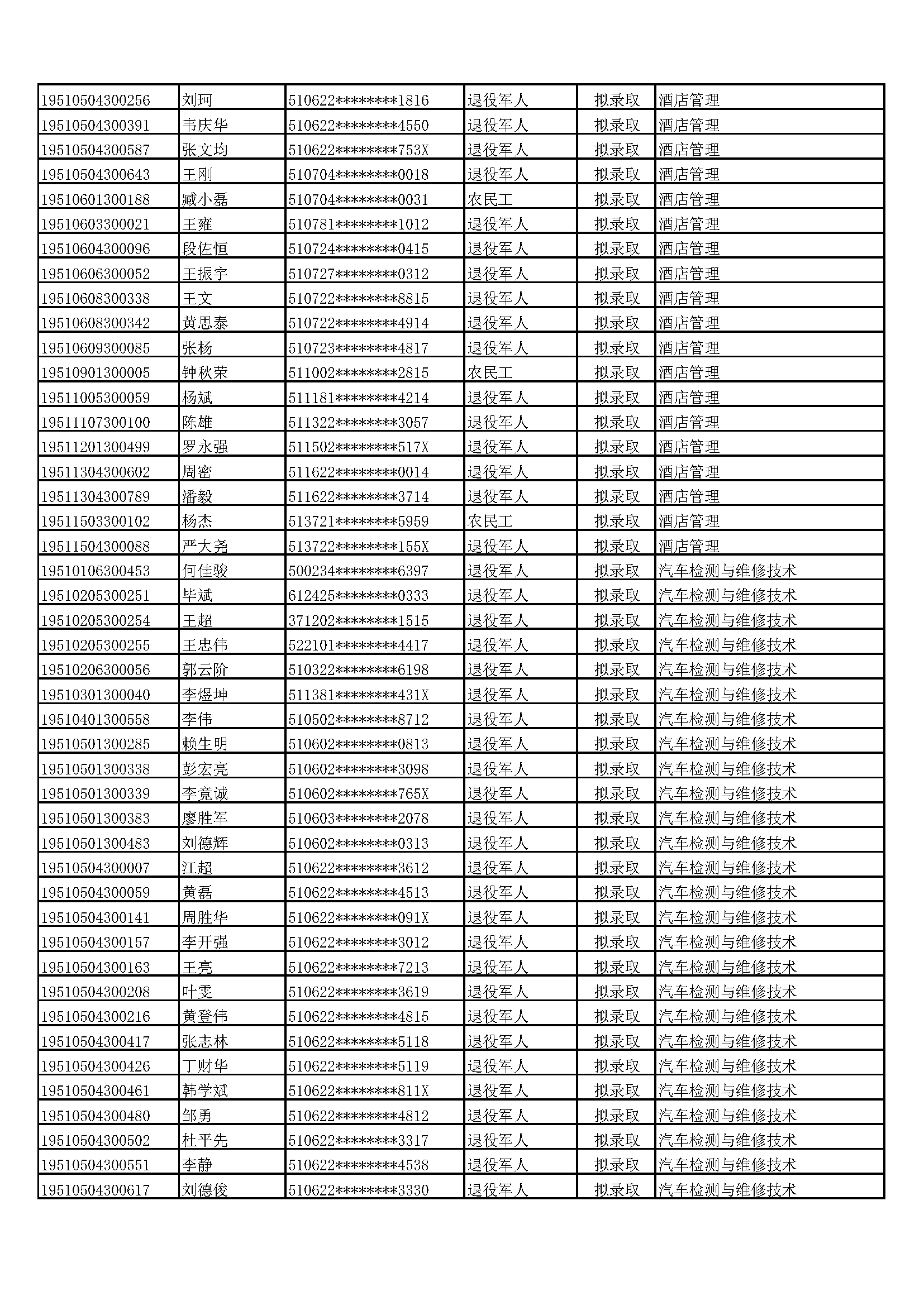
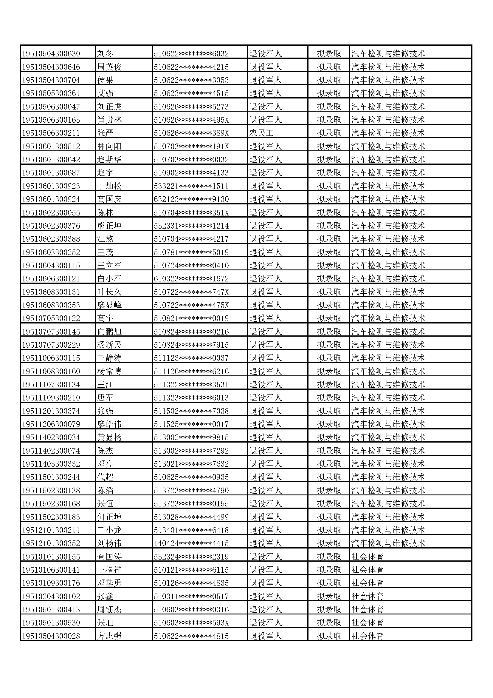
四川工业科技学院2019年面向退役军人等群体人员招生考试拟录取名单公示
发布时间:2019-12-05   来源:   作者:招就处  

各位考生:

根据《四川省2019年普通高等学校面向退役军人等群体人员招生考试及录取办法》(川招考委[2019]68号)文件精神,经学校招生录取领导小组研究决定,现将各专业拟录取名单(详见附件)进行公示,公示期:2019125日至129日。公示期结束后,我校将拟录取名单报送四川省教育考试院办理正式录取手续,最终录取名单以四川省教育考试院核定为准。

考生可登陆学校官网查询本人详细拟录取信息及考试成绩,12917点之前对本人录取有异议或者自愿放弃录取的,请电联:招生办公室:0838-3201799,3206188(传真),校纪委:0838-3202115。学校通讯地址:四川省德阳市罗江大学路59号,邮编:618500